Nach unten Skip to main content

Autor Thema: Termin zur Abgabe der Vermögensauskunft (Bayern)  (Gelesen 8164 mal)

n
  • Beiträge: 2
Hallo Zusammen,

Person A bezahlt keine GEZ Gebühren. Es kamen *-zig Briefe und Mahnungen von GEZ.
Auch der Brief "Ankündigung der Zwangsvollstreckung" wurde ignoriert.

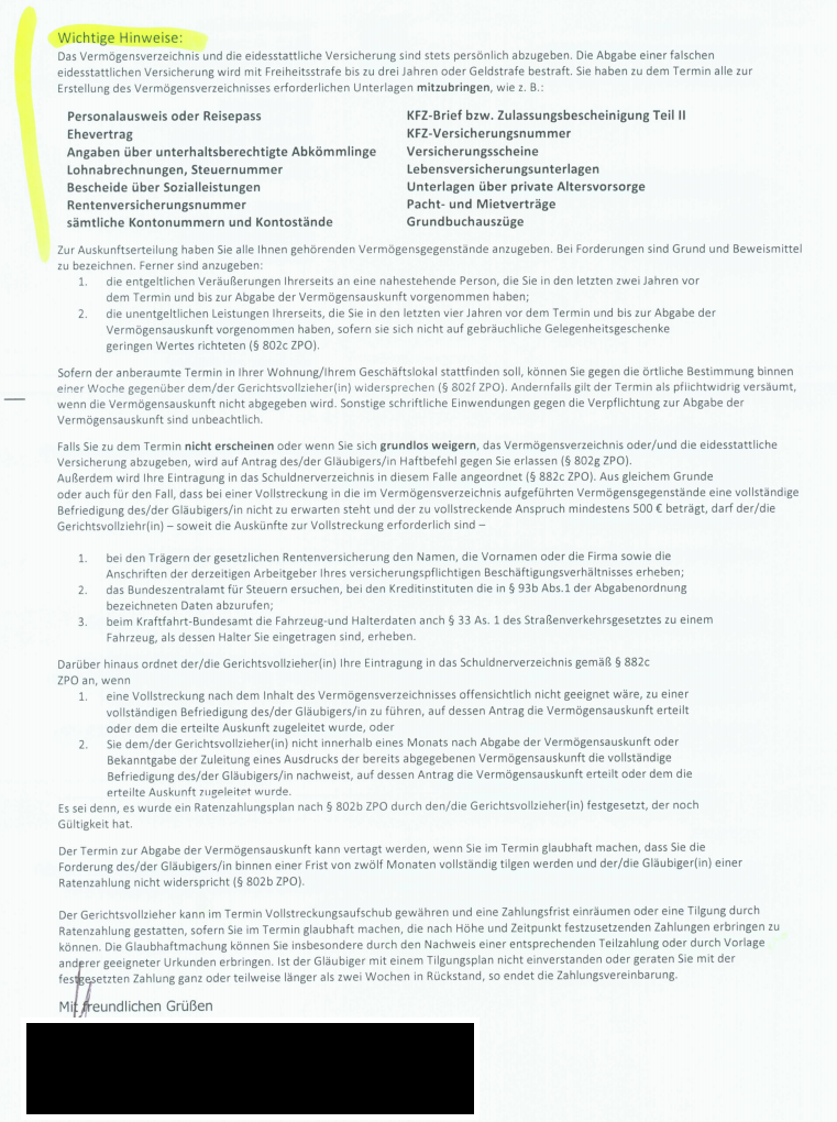
Vor ein paar Tagen kam dann folgender Brief an:


Wie kann Person A jetzt vorgehen? Bezahlen und vergessen oder sich weiterhin wehren?

Vielen Dank


Unterschriftenaktion: https://online-boykott.de/unterschriftenaktion
Rechtlicher Hinweis: Beiträge stellen keine Rechtsberatung in irgendeiner Form dar. Sie spiegeln ausschließlich die persönliche Meinung des Verfassers wider. Weitere Infos: Regeln

  • IP logged  »Letzte Änderung: 14. Mai 2015, 01:31 von Bürger«

G

Gast

Hallo und Willkommen im Forum. :)

A hat wohl bisher nicht ohne guten Grund die angeblichen Forderungen ignoriert (?)!

Natürlich liegt es dann nahe, dass A sich auch weiterhin wehren sollte und nun eben gegen die Zwangsvollstreckung vorgehen muss.

Insbesondere sollte sich A fragen, ob die allgemeinen Vollstreckungsvoraussetzungen gegeben sind. Wurden A etwaige Bescheide tatsächlich zugestellt? Nein? Dann heißt es Rechtsmittel gegen die Abgabe der Vermögensauskunft einlegen und dabei diesen Umstand anzeigen. Gegen Zwangsvollstreckungsmaßnahmen heißt das Rechtsmittel glaube ich 'Erinnerung'.

Einfach mal die Rückseite von dem Wisch lesen. Da sollte eigentlich stehen wie das Rechtsmittel heißt und wo es einzulegen ist.

Falls die Abgabenordnung (AO) im fiktiven Bundesland greift (nochmal schlau machen), dann auch insbesondere auf § 122 Abs. 2 Halbsatz 2 AO hinweisen:

Zitat
... im Zweifel hat die Behörde den Zugang des Verwaltungsakts und den Zeitpunkt des Zugangs nachzuweisen.

Wenn die AO nicht greift, dann das entsprechende Pendant heraussuchen und darauf verweisen.

Irrtümer vorbehalten // Keine Rechtsberatung // Viel fiktiven Erfolg  ;)


Unterschriftenaktion: https://online-boykott.de/unterschriftenaktion
Rechtlicher Hinweis: Beiträge stellen keine Rechtsberatung in irgendeiner Form dar. Sie spiegeln ausschließlich die persönliche Meinung des Verfassers wider. Weitere Infos: Regeln

  • IP logged  »Letzte Änderung: 14. Mai 2015, 01:31 von Bürger«

n
  • Beiträge: 2
Hallo und vielen Dank für die schnelle Antwort. Die fiktive Person war die letzten 2 Wochen im Urlaub und der Termin für die Abgabe der Vermögensauskunft ist für Ende dieser Woche angesetzt. Es bleibt also nicht mehr lange Zeit für eine Reaktion.
Auf der Rückseite des Schreibens fehlt die Rechtsbelehrung. So sieht die Rückseite aus und sonst ist bei dem Schreiben nichts dabei, ausser ein kleiner "Vorblatt zur Zustellungssendung":



Unterschriftenaktion: https://online-boykott.de/unterschriftenaktion
Rechtlicher Hinweis: Beiträge stellen keine Rechtsberatung in irgendeiner Form dar. Sie spiegeln ausschließlich die persönliche Meinung des Verfassers wider. Weitere Infos: Regeln

  • IP logged  »Letzte Änderung: 14. Mai 2015, 01:32 von Bürger«

1
  • Beiträge: 443


Unterschriftenaktion: https://online-boykott.de/unterschriftenaktion
Rechtlicher Hinweis: Beiträge stellen keine Rechtsberatung in irgendeiner Form dar. Sie spiegeln ausschließlich die persönliche Meinung des Verfassers wider. Weitere Infos: Regeln

  • IP logged  »Letzte Änderung: 14. Mai 2015, 01:32 von Bürger«

c
  • Beiträge: 1.025
Falls die Abgabenordnung (AO) im fiktiven Bundesland greift (nochmal schlau machen), dann auch insbesondere auf § 122 Abs. 2 Halbsatz 2 AO hinweisen:

Zitat
... im Zweifel hat die Behörde den Zugang des Verwaltungsakts und den Zeitpunkt des Zugangs nachzuweisen.

Wenn die AO nicht greift, dann das entsprechende Pendant heraussuchen und darauf verweisen.

Auch in Bayern hat die Behörde im Zweifel die Zustellung nachzuweisen:
http://www.gesetze-bayern.de/jportal/portal/page/bsbayprod.psml?showdoccase=1&doc.id=jlr-VwVfGBYrahmen&doc.part=X

Art. 41 BayVwVfG (Bayerisches Verwaltungsverfahrensgesetz)
Bekanntgabe des Verwaltungsakts
(1) 1 Ein Verwaltungsakt ist demjenigen Beteiligten bekanntzugeben, für den er bestimmt ist oder der von ihm betroffen wird. 2 Ist ein Bevollmächtigter bestellt, so kann die Bekanntgabe ihm gegenüber vorgenommen werden.
(2) 1 Ein schriftlicher Verwaltungsakt, der im Inland durch die Post übermittelt wird, gilt am dritten Tag nach der Aufgabe zur Post als bekannt gegeben. 2 Ein Verwaltungsakt, der im Inland oder in das Ausland elektronisch übermittelt wird, gilt am dritten Tag nach der Absendung als bekannt gegeben. 3 Dies gilt nicht, wenn der Verwaltungsakt nicht oder zu einem späteren Zeitpunkt zugegangen ist; im Zweifel hat die Behörde den Zugang des Verwaltungsakts und den Zeitpunkt des Zugangs nachzuweisen.

Art. 43 BayVwVfG
Wirksamkeit des Verwaltungsakts
(1) 1 Ein Verwaltungsakt wird gegenüber demjenigen, für den er bestimmt ist oder der von ihm betroffen wird, in dem Zeitpunkt wirksam, in dem er ihm bekanntgegeben wird. 2 Der Verwaltungsakt wird mit dem Inhalt wirksam, mit dem er bekanntgegeben wird.


sowie Art. 44 BayVwVfG
Nichtigkeit des Verwaltungsakts
1) Ein Verwaltungsakt ist nichtig, soweit er an einem besonders schwerwiegenden Fehler leidet und dies bei verständiger Würdigung aller in Betracht kommenden Umstände offenkundig ist.





Unterschriftenaktion: https://online-boykott.de/unterschriftenaktion
Rechtlicher Hinweis: Beiträge stellen keine Rechtsberatung in irgendeiner Form dar. Sie spiegeln ausschließlich die persönliche Meinung des Verfassers wider. Weitere Infos: Regeln

  • IP logged
Aktion (Kommunal-)Politik - aktiv gegen den Rundfunkbeitrag!
https://gez-boykott.de/Forum/index.php?topic=22747.0
Rundfunkkommission+KEF anschreiben! Neues "Gebühren"konzept beeinflussen!
https://gez-boykott.de/Forum/index.php?topic=24635.0
Anträge bei "Beitragsservice" / GEZ...
https://gez-boykott.de/Forum/index.php?topic=30694.0

c
  • Beiträge: 1.025


Unterschriftenaktion: https://online-boykott.de/unterschriftenaktion
Rechtlicher Hinweis: Beiträge stellen keine Rechtsberatung in irgendeiner Form dar. Sie spiegeln ausschließlich die persönliche Meinung des Verfassers wider. Weitere Infos: Regeln

  • IP logged
Aktion (Kommunal-)Politik - aktiv gegen den Rundfunkbeitrag!
https://gez-boykott.de/Forum/index.php?topic=22747.0
Rundfunkkommission+KEF anschreiben! Neues "Gebühren"konzept beeinflussen!
https://gez-boykott.de/Forum/index.php?topic=24635.0
Anträge bei "Beitragsservice" / GEZ...
https://gez-boykott.de/Forum/index.php?topic=30694.0

1
  • Beiträge: 443


Unterschriftenaktion: https://online-boykott.de/unterschriftenaktion
Rechtlicher Hinweis: Beiträge stellen keine Rechtsberatung in irgendeiner Form dar. Sie spiegeln ausschließlich die persönliche Meinung des Verfassers wider. Weitere Infos: Regeln

  • IP logged

 
Nach oben